This is from the same paper. A BlandAltman plot difference plot in analytical chemistry or biomedicine is a method of data plotting used in analyzing the agreement between two different assays.
Agreement Between Two Methods Statalist
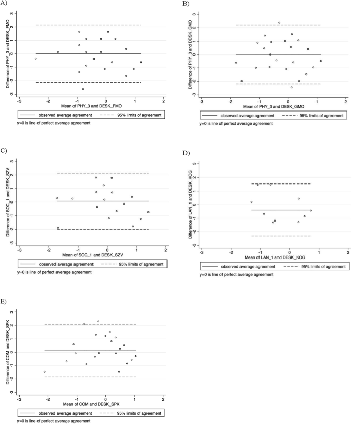
Again two different B-A plots that are merged then labels applied.

Bland altman plot stata. Bias and 95 limits of agreement. AbstractThe normal Bland-Altman plot is between the difference of paired variables versus their average. Dear Statalist members I faced a problem with making Bland-Altman plot using stata 9.
A reviewer asked me to present the four different plots with the same scale and the scale should be in whole units. This is a revised version of the routine originally published in STB-55. These statistical limits are calculated by.
The Bland-Altman plot 1983 is formed by plotting the differences X 1 - X 2 on the vertical axis versus the averages X 1X 22 on the horizontal axis. What is the interpretation of such a correlation. Bland and Altman introduced the Bland-Altman BA plot to describe agreement between two quantitative measurements by constructing limits of agreement.
The Bland-Altman plot Bland Altman 1986 and 1999 or difference plot is a graphical method to compare two measurements techniques. The plot below shows the Bland-Altman plot for some simulated data the R code follows later. The bias is computed as the value determined by one method minus the value determined by the other method.
Plotted points beyond the LOA are identified in red. It is identical to a Tukey mean-difference plot 1 the name by which it is known in other fields but was popularised in medical statistics by J. As far as Statas graph maker is concerned this is a scatterplot.
A horizontal line representing the bias is drawn at 𝑑𝑑. This version uses a regression between the difference and the average and then alters the limits of agreement accordingly. SAS Blend Altman plot includes approximate 95 limits.
A tutorial on how to make Bland-Altman plots in Excel. I do not claim any copyright on the data - this is meant to allow testing of the function. The BlandAltman plot I there is a more informative way of plotting these data called the BlandAltman plot1.
The differences and averages of the data pairs are graphed with the center line and the limits of agreement LOA. This macro produces a Bland-Altman Plot of paired data. The problem is I can not set the scale values for the difference on the Y-axis or the average on X-axis of the graph.
The dotted line is relative mean difference the long dashed lines are - 2 SD. The second results page shows the average bias or the average of the differences. Baplot produces Bland-Altman plots that is plots of the difference of paired variables versus their average.
Keywords Testretest agreement reliability correlation concordance coefficient BlandAltman plot NCCR LIVES Institute of Social Sciences Faculty of Social and Political. BlandaltmanPEFR1986 3 blandaltmanPEFR1986 Sample PEFR comparison data from Bland-Altman 1986 Description This is the sample PEFR data set from the 1986 Lancet paper written by Bland and Altman. This is especially important if you are trying to introduce a new measurement capability which has some advantages eg.
In this graphical method the differences or alternatively the ratios between the two techniques are plotted against the averages of the two techniques. Martin Bland and Douglas G. The Bland-Altman plot plots the pairwise differences between the measurements against their average.
A scatterplot of variable means plotted on the horizontal axis and the differences plotted on the vertical axis which shows the amount of disagreement between the two measures via the differences and lets you see how this disagreement relates to the magnitude of the. Addition to reliability then correct alternative such as the BlandAltman plot should be more generally used. Sometimes one sees a correlation between the pair-wise differences and averages.
A tutorial on how to make Bland-Altman plots in Excel. I This is produced by rotating the scatterplot 45 degrees clockwise to produce a plot of the difference between measures on the vertical axis against the mean of the 2 measures on the horizontal axis. Addition al horizontal lines known as limits of agreement are added to the plot at 𝑑𝑑196 𝑆𝑆𝑑𝑑 and.
A scatterplot of variable means plotted on the horizontal axis and the differences plotted on the vertical axis which shows the amount of disagreement between the two measures and lets you see how this disagreement relates to the magnitude of the measurements. Bland-Altman is a method for comparing two measurements of the same variable. The first page of Bland-Altman results shows the difference and average values and is used to create the plot.
It is less expensive or safer to use over an existing measurement technique.
Sample Size Calculation Bland Altman Plot
Making Scatterplots And Bland Altman Plots In Stata Tim Plante Md Mhs
Weird Trend On Bland Altman Plots Stata
Bland Altman Plot Illustrating Agreement Between Repeated Measurements Download Scientific Diagram
How Do I Estimate Limits Of Agreement When The Mean Or Sd Of Differences Is Not Constant
Making Scatterplots And Bland Altman Plots In Stata Tim Plante Md Mhs
Bland Altman Plots Of Dxa Versus Mri Measures Of L1l4 And L2l4 Fat Download Scientific Diagram
Bland Altman Plot Of 282 Paired Measurements For Comparison Of The Download Scientific Diagram
ads
Search This Blog
Blog Archive
- January 2023 (4)
- January 2022 (7)
- December 2021 (28)
- November 2021 (14)
- October 2021 (23)
- September 2021 (15)
- August 2021 (32)
- July 2021 (28)
- June 2021 (26)
- May 2021 (29)
- April 2021 (30)
- March 2021 (29)
- February 2021 (18)
- January 2021 (12)
- December 2020 (18)
- November 2020 (15)
- October 2020 (14)
- September 2020 (12)
- August 2020 (12)
- July 2020 (18)
- June 2020 (22)
- May 2020 (20)
- April 2020 (18)
- March 2020 (22)
- February 2020 (17)
- January 2020 (21)
- December 2019 (24)
- November 2019 (15)
- October 2019 (30)
- September 2019 (17)
- August 2019 (19)
- July 2019 (14)
- June 2019 (5)
Labels
- 1819
- 1848
- 1964
- 1977
- abacus
- abdominal
- ablation
- absolute
- absorber
- account
- acid
- acids
- acne
- acquired
- acrylic
- activities
- actuator
- adhd
- adhesive
- adults
- affected
- african
- after
- agricultural
- agriculture
- aids
- akwa
- alaska
- alcohol
- alendronate
- alice
- allen
- allergy
- alpha
- alpine
- altman
- aluminum
- america
- american
- amino
- analysis
- anatomically
- anatomy
- anemia
- animal
- animals
- annuum
- answer
- antenna
- antitrypsin
- anxiety
- aortic
- apart
- apnea
- aquatic
- arabia
- arabic
- architecture
- area
- array
- arteries
- arthritis
- assessment
- assistance
- assistant
- assistive
- atmospheric
- atomic
- atrial
- atrophy
- attack
- attitudes
- audio
- autism
- autistic
- autoimmune
- awareness
- babies
- baking
- balance
- baldness
- ball
- balloon
- balloons
- balm
- banana
- band
- baptist
- basal
- base
- based
- basking
- bass
- beams
- beans
- beautiful
- becoming
- beer
- beetle
- before
- beginning
- begins
- behavior
- behaviour
- being
- belief
- benefits
- best
- betel
- better
- between
- bias
- bifida
- bignonioides
- bilateral
- bindings
- biography
- biology
- biopsy
- biotene
- birds
- black
- bladder
- blade
- blasting
- bleaching
- blockchain
- blood
- blue
- bluetooth
- boardwalk
- boat
- body
- bond
- bone
- book
- books
- booth
- borrowed
- bowel
- brace
- brain
- breaker
- breast
- brevis
- brief
- bronchitis
- buddhism
- bulls
- business
- calcification
- calcium
- calculation
- calm
- campaign
- cancer
- capacity
- capital
- capsicum
- carbon
- carol
- case
- catalpa
- cataract
- catecholaminergic
- cattle
- cause
- causes
- cedar
- cell
- cells
- center
- centrifugal
- ceramics
- cerebral
- certain
- chain
- chains
- changes
- channels
- characteristics
- charity
- charm
- checklist
- chemical
- chemicals
- chest
- chestnut
- chiari
- chickens
- child
- children
- china
- chinese
- choledocojejunostomy
- christian
- chromosome
- chronic
- circuit
- circular
- citrate
- claims
- clark
- classroom
- clay
- climbing
- coaching
- coal
- coating
- coccidiosis
- coen
- cognitive
- cold
- collapse
- columnar
- commerce
- common
- companies
- complete
- complications
- composite
- conceit
- conclusion
- concussion
- conditioner
- conditions
- condoms
- conduct
- conductivity
- condyle
- conflict
- congestion
- connective
- cons
- consent
- conservation
- constipation
- construction
- consumer
- control
- cooper
- copper
- core
- correct
- corrupt
- cost
- count
- countries
- country
- course
- cows
- cream
- creams
- creatine
- cricket
- criminals
- cronos
- cross
- cultured
- curing
- current
- cutter
- cyber
- cycle
- dams
- data
- date
- dazzle
- deaths
- deere
- defect
- defiant
- define
- definition
- delay
- dementia
- density
- dermatitis
- design
- detachment
- detect
- deter
- determine
- development
- developmental
- device
- dewatering
- dexamethasone
- diabetes
- diabetics
- diagnosed
- diagnosis
- diagram
- diastolic
- diets
- diff
- difference
- differentiation
- dimensioning
- dimensions
- diode
- disabilities
- discoveries
- discovery
- discrete
- disease
- dislocated
- disorder
- dodge
- does
- dogs
- doing
- door
- download
- dragon
- drops
- drucker
- drugs
- drying
- dyslexia
- dysphagia
- earth
- earthquake
- ecology
- ecosystem
- edible
- edition
- education
- effect
- effects
- effexor
- efficiency
- elderly
- elementary
- emotional
- empower
- emulsion
- endoscopy
- energy
- engelbert
- engineering
- engines
- enzyme
- eosinophils
- equilibrium
- equipment
- eruption
- esophagitis
- esophagus
- essential
- evolution
- example
- examples
- exercises
- explain
- exposure
- extract
- extremity
- fabric
- factors
- failure
- fall
- fallot
- falls
- families
- fatal
- femoral
- festival
- fiber
- fibrillation
- fibroid
- fibrosis
- fiction
- filling
- find
- fire
- fish
- fitness
- flange
- flashes
- flaxseed
- flour
- food
- foods
- forgotten
- formed
- forms
- formula
- found
- fowles
- fractal
- free
- freshwater
- friction
- frontal
- function
- fusion
- game
- games
- gardner
- gauge
- gender
- gene
- generator
- genetically
- geometric
- gerd
- ginseng
- girls
- give
- giving
- gland
- glandular
- global
- gluten
- goats
- good
- government
- grape
- graves
- green
- group
- growth
- guided
- guillermo
- hair
- hallucis
- happiness
- harvesting
- have
- having
- headache
- health
- healthcare
- heart
- heartworm
- heat
- heating
- helicopters
- helmet
- help
- hematocrit
- hemoglobin
- hepatitis
- hernia
- herpes
- high
- hind
- history
- home
- horn
- horse
- hose
- howard
- hubbard
- human
- humperdinck
- hypertrophy
- hyponatremia
- ibom
- identity
- imagination
- imaging
- immune
- impairment
- implement
- implicit
- improve
- inclusion
- inconvenient
- increase
- indeed
- independent
- india
- induce
- infection
- infections
- infertility
- inflammation
- influence
- informative
- initial
- injection
- injury
- install
- insulated
- insulin
- integrity
- intelligence
- interface
- internal
- internet
- interventionist
- introduction
- invasion
- iodine
- ipad
- iron
- irony
- irritable
- ischaemic
- ischemic
- isreal
- itching
- japanese
- jawbone
- jaws
- jiao
- john
- johnson
- joint
- justice
- juvenile
- keeps
- kidney
- kids
- knee
- kong
- kosovo
- labels
- labor
- lakes
- landau
- lands
- language
- laparoscopic
- large
- laser
- layers
- leader
- learning
- leisure
- letters
- leucoselect
- level
- levels
- liar
- liberia
- library
- life
- lifetime
- light
- limiting
- linda
- linear
- linehan
- linux
- liquid
- list
- little
- live
- liver
- living
- loaded
- lobe
- located
- locke
- loma
- long
- lori
- loss
- lost
- lots
- louis
- love
- lower
- lung
- lures
- lysosomes
- machines
- made
- magnesium
- magus
- major
- making
- malcolm
- male
- management
- manual
- march
- market
- marketing
- marsha
- mass
- massage
- material
- mathematical
- mating
- mean
- meaning
- measure
- measured
- mechanics
- mechanism
- medial
- mediastinal
- medical
- medication
- medicine
- meditation
- melanoma
- mesh
- metal
- metformin
- methods
- methotrexate
- methyl
- microbial
- migraine
- milk
- mind
- mindstorms
- mining
- mirror
- model
- modeling
- moderate
- modification
- modified
- monitor
- moon
- moons
- motor
- mouthwash
- movie
- much
- multiple
- muscle
- music
- myelomeningocele
- myositis
- mysticism
- name
- nano
- nasal
- natural
- nature
- navigation
- neck
- negative
- nerve
- neuralgia
- neurological
- neuron
- neurons
- neuropathy
- news
- nicaragua
- nickname
- nitric
- nitrogen
- noise
- normal
- nuclear
- number
- nuts
- oblivious
- observer
- obstructive
- ocean
- oils
- oleophobic
- omnivores
- online
- optic
- originate
- ornamental
- other
- ottoman
- outdoor
- outliers
- ovary
- overcome
- oxide
- oxygen
- pads
- pages
- pain
- pair
- palm
- palpitations
- pancreatitis
- panic
- pants
- paper
- papillomas
- parks
- part
- past
- pathophysiology
- patients
- patterns
- peace
- peaks
- peels
- pelvic
- penalty
- people
- pepper
- period
- personality
- phalloplasty
- pharamaceutical
- pheromones
- philosophies
- phonological
- photo
- picture
- pictures
- pieces
- pier
- plant
- plantains
- planter
- plants
- plaque
- plate
- platelet
- play
- player
- plot
- pneumonia
- point
- policy
- polio
- political
- polymorphic
- poorest
- population
- poro
- posterior
- potassium
- potato
- powered
- pregnancy
- pregnant
- premiere
- preparation
- preparing
- pressure
- prevention
- price
- prime
- primidone
- principles
- private
- process
- processing
- products
- programming
- project
- pros
- prostates
- prostatitis
- protocol
- psalmist
- pseudostratified
- psoriatic
- psychology
- psychosynthesis
- puberty
- publication
- pulsed
- pump
- pumpkin
- pure
- qualitative
- quality
- quantitect
- queen
- questions
- quitting
- rack
- radiant
- radiology
- rails
- rainforest
- rainwater
- range
- rate
- readmissions
- reasons
- recoiling
- record
- recovery
- reduce
- reflux
- reinforced
- relationship
- release
- religion
- renal
- repair
- replacement
- replication
- resource
- respect
- respiratory
- response
- responsible
- restriction
- retaining
- retinal
- return
- reverse
- review
- reviews
- revolt
- rhizome
- rice
- rich
- richard
- risk
- rollers
- rosacea
- rose
- roux
- rubix
- ruby
- ryan
- sacroiliac
- sago
- sale
- salicylate
- scale
- scars
- sciatica
- science
- scientific
- score
- screen
- seborrheic
- sedation
- sedimentary
- seed
- seen
- selenium
- self
- seminary
- seneca
- seniors
- sensitivity
- sentence
- sentinel
- septic
- sequence
- serum
- server
- severe
- shampoo
- shanghai
- sharks
- shelf
- shirt
- shock
- short
- shoulder
- shrine
- side
- sign
- signs
- silica
- simple
- simulator
- single
- sinus
- sinusitis
- size
- skim
- skin
- sleep
- slider
- small
- snapshot
- social
- socialist
- socially
- societies
- society
- sociological
- software
- soil
- solar
- solid
- solidarity
- some
- something
- soul
- sound
- sources
- south
- special
- specific
- spectrograph
- spectrum
- speech
- spiders
- spill
- spiritual
- spironolactone
- splint
- sprayers
- spread
- spring
- sprint
- stage
- stages
- staging
- stata
- states
- statin
- statistical
- statistics
- steam
- steering
- stem
- stent
- stepford
- steroids
- stethoscope
- stick
- stimulate
- stock
- stones
- streaming
- stress
- string
- strips
- stroke
- strongest
- struvite
- students
- studies
- subliminal
- substances
- success
- sulfur
- summary
- summer
- sunlight
- supplement
- supplements
- surface
- surgery
- surgical
- survive
- suzan
- symptoms
- syndrome
- synthetic
- system
- systolic
- table
- tablets
- tachycardia
- taking
- taming
- tank
- tanner
- target
- teach
- techniques
- teen
- teeth
- tell
- template
- temporary
- tense
- tension
- term
- terminology
- test
- testing
- tetralogy
- text
- that
- theological
- theory
- therapy
- thermos
- these
- things
- thinking
- third
- three
- thrive
- through
- thymus
- thyroid
- time
- times
- tissue
- titanium
- tobramycin
- today
- toddler
- tolerancing
- tong
- tongue
- topical
- toro
- total
- touch
- towers
- track
- traditional
- training
- transcendence
- transformer
- transitions
- translate
- translation
- transom
- treatise
- treatment
- tree
- trigeminal
- trimester
- triple
- trisomy
- trusted
- truth
- turbine
- turn
- turtles
- twin
- type
- types
- ulnar
- ultra
- ultrasound
- ultraviolet
- unusual
- urine
- used
- uses
- uterus
- vacuum
- vagus
- validate
- valve
- vasopressors
- veins
- ventricular
- venture
- venus
- versus
- violence
- violent
- viral
- virtual
- vitamin
- vocabulary
- voice
- voltaren
- waco
- wall
- walmart
- warts
- wastewater
- water
- webroot
- weed
- weight
- weird
- western
- what
- wheel
- where
- wicked
- wild
- wind
- windows
- wireless
- with
- without
- wives
- women
- wood
- woodcock
- woods
- words
- work
- world
- worth
- writing
- xray
- year
- yeast
- yield
- york
- young
- zero
-
Coughing and wheezing are hardly unique to children with CF of course. Infants born with cystic fibrosis typically show signs within the fi...
-
The large leaves make for a great shade tree. It was bred to achieve an attractive tree with exceptional foliage but of reduced size to fit...
-
Two new biologics have recently been added to the PBS. Outsmart psoriasis and psoriatic arthritis from the inside out at this local event. ...

